A lot of things in nature repeat themselves over and over again as time passes.
- Think of an example like our own planet orbiting the sun. Every 365 days it completes a single revolution around the sun. It’s been doing this for millions of years, and will continue to do it on the same schedule for millions of years.
- A pendulum swings back and forth in a very predictable motion that we can not only watch, but also predict using a basic formula.
- These are examples of something that happens periodically.
This can be applied to very specific situations in physics called Simple Harmonic Motion (see Lesson 32).
- It’s “simple” in that we will not be talking about super complicated situations.
- “Harmonic” refers to the way things are repeating over and over (like singing harmonies).
- We already have talked about moving things, which is where the “motion” part of the term comes from.
A good example of SHM is the study of springs, and what they do when expanded or compressed.
- Imagine that I have a spring laying horizontally on a totally frictionless surface.
- To one end of the spring I attach a mass. This is the end that I am going to be moving around.
- The other end of the spring is attached to something large that won’t move, like a wall.
- With everything just sitting there, the weight will be at its equilibrium position, the spot where the spring isn’t expanded or compressed.

compression.
A physicist named Robert Hooke studied this sort of a situation and came up with a few interesting observations.
- First, when you first start pulling on the weight, the spring will expand easily without much force needed.
- The more you pull on the spring and the further it stretches, the harder it becomes to pull it even a little more.
- The same thing happens if you try compressing the spring. The more you compress it, the harder it becomes.
- He also noticed that all springs are different… some are easier to expand and compress, some are harder.

He came up with the following formula based on these observations… it’s known as Hooke’s Law:
F = kx
F = force (N)
k = spring constant (N/m)
x = expansion or compression (m)
Example 1: If a spring has a spring constant of 18.5 N/m, determine the force needed to a) expand the spring 15cm and b) compress the spring 20cm from its equilibrium point.
a) F = kx = (18.5N/m) (+0.15m) = +2.8 N
b) F = kx = (18.5N/m) (-0.20m) = -3.7 N
Note: As always, a plus and negative sign only indicate direction. Expansion is thought of as being positive, while compression is traditionally seen as negative.
Now let’s relate Hooke's Law to SHM with some old physics.
- Think back to Newton’s 3rd Law… if it takes a force for you to push or pull the spring to that point, there must be an equal and opposite force trying to pull the spring back to where it started. So what happens if we let go after stretching a spring?
- When the weight is expanded far away from the equilibrium point, the force will be larger so the weight will have a big acceleration back towards its equilibrium point.
- As it gets closer to the equilibrium point the force will decrease, so the weight will be accelerating less (although it is still accelerating towards the equilibrium point).
- When it gets to the equilibrium point, the force will be zero (F = kx = k (0) = 0 N), so the weight isn’t accelerating anymore.
- This doesn’t mean it isn’t moving, it just means it isn’t going any faster or slower.
- It will go past its equilibrium point and start to compress the spring. Because this requires a force, the weight will start to slow down (negative acceleration).
- As it compresses more and more, it takes more and more force, so it has more negative acceleration acting on it.
- In the end, the weight will stop moving. It will be compressed at a distance (x) equal to the original distance the spring was expanded.
- Without friction, that weight will keep bouncing back and forth on the end of that spring forever!
It is also possible to calculate how energy is changing forms as the weight moves from its maximum distance to its equilibrium point.
- The energy stored in a expanded or compressed spring is potential energy because it is stored.
- Because it involves something being expanded or compressed, it’s called elastic potential energy.
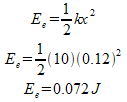
- The formula for the energy stored in the spring is given by the formula:

Ee = elastic potential energy (J)
k = spring constant (N/m)
x = expansion or compression (m)
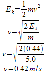
Example 2: A spring with a spring constant of 10 N/m is stretched to a distance of 32cm. We let go of the 5.0kg mass on the end of the spring. Determine how fast it will be moving when it a) is 12cm from the equilibrium point and b) at the equilibrium point.
a) At the start when it is 32cm from the equilibrium, it will have the following elastic potential energy…
When it is 12cm from equilibrium we can figure out how much elastic potential energy it has …
This just means that some of the original elastic potential energy has turned into kinetic energy…
Ek = 0.51 J – 0.072 J = 0.44 J
which we can use to find the speed of the weight…
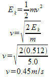
b) At the equilibrium point, all of its original elastic potential energy has changed into kinetic energy…
Ee = Ek = 0.51 J
which we can use to find the speed of the weight…



